I dagens samfunn ser vi på verden rundt oss og tenker kanskje at det vi observerer er «normalt». Vi opererer med referanseverdier i medisinen, som sier noe om pasienter befinner seg innenfor normalområdet hos «friske» mennesker.
Men hvor normalt er egentlig det vi legger til grunn for standardene?
Ikke særlig. Ser vi tilbake i tid, og til grupper som fortsatt lever på et mer tradisjonelt vis, finner vi at dagens normal i realiteten er svært abnormal.
5 eksempler fra forskningslitteraturen
Kolesterol

Vitamin D

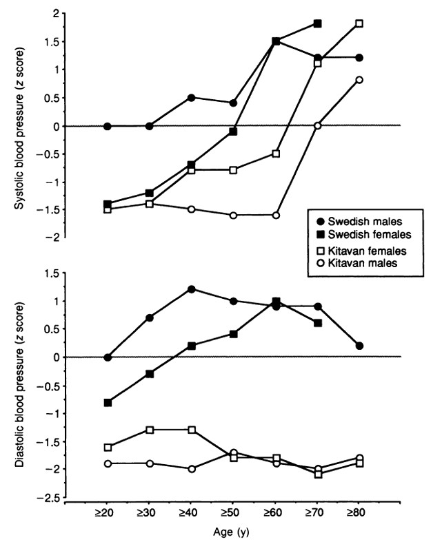
Blodtrykk

Tarmflora

Kroppsfett

En uvanlig situasjon
Veldig mye av det vi i dag eksponeres for har vi aldri tidligere blitt eksponert for. Elektromagnetisk nettverksstråling, kunstige tilsetningsstoffer, farmasøytisk antibiotika og mye mer er noe som først ble en del av mennesketilværelsen helt nylig. Det har også vært enorme endringer i inntatte næringsstoffer, sosiale interaksjoner, aktivitetsmønstre og så videre.
Ser vi innover, til det som foregår i kroppene våre, finner vi også der betydelige avvik sett opp mot det som har vært, som vist i figurene over. Dagens helsenormal skiller seg markant fra den evolusjonære normal. Det tydeliggjøres at hva det vil si å være frisk eller syk, avhenger av hva vi legger til grunn for definisjonene, samt at potensialet for helseforbedring i dagens verden er stort.

Det er jo ikke slik at vi nødvendigvis har godt av å ligge akkurat der vi ser at mer naturliglevende mennesker befinner seg, men at vi med fordel kan bevege oss i den retning, er det ingen tvil om. Det vil styrke kropp og helse gjennom å bringe vår nedarvede fysiologi nærmere det den er tilpasset.